4.波の性質 

互いに逆向きに進んできた波が出会うとき、波は互いに影響を受けることなく、相手をすり抜けて進んでいく。波のこのような性質を波の独立性という。一方、二つの波が重なり合っている間は波は複雑な変化をしているが、それはそれぞれの波の波形を足し合わせた波形になっている。すなわち、二つの波が重なり合うところでは、媒質の変位は、それぞれの波による変位の和に等しい。波のこのような性質を波の重ね合わせの原理という。

これは、波Tによる変位がy,波Uによる変位がyのとき、二つの波TとUが重なり合った所での変位yはy=y+y となるということである。
二つ以上の波が重なり合ってできる波を合成波という。

4.1 定常波

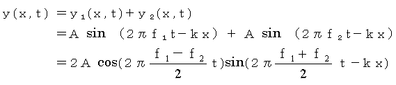
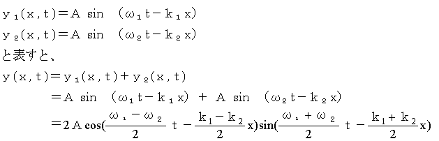
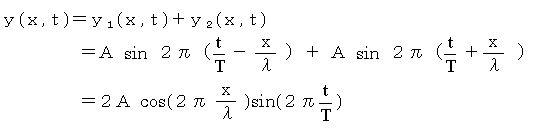
 互いに逆向きに進む振幅・周期・波長の等しい2つの波の重ね合わせについて考えよう。x軸を正の向きに伝わる波をy、負の向きに伝わる波をyとする。これらの波はそれぞれ、

と表される。そして、これらの波が重なり合ったときの合成波y(x,t)は、波の重ね合わせの原理より

となる。これは合成波において、波源から距離xにおける点が振幅

の単振動をすることを示している。

の地点では振動の振幅は2Aとなり最も大きく振動する。一方、

の地点での振動の振幅は0である。最も大きく振動する部分を波の、全く振動しない部分を波のという。 さらにこの波は、時間が経ってもその波形が移動しない波で、このような波は定常波とよばれ、媒質の各点は同位相で振動している。また、波形が時間と共に移動する波進行波とよばれる。

4.2 うなり(beat)

次に、振動数のわずかに異なる二つの波の重ね合わせについて考えよう。ある位置においてこれらの波の合成波を観測すると、ある時刻では二つの波の山同士が重なり合って強め合うが、しばらく経つと互いの波の位相がずれて今度は二つの波の山と谷が重なり合って、打ち消し合う。このように時間と共に波の強め合いと打ち消し合いが交互にゆっくりと起こ現象うなりという。

ここでは二つの波の振幅、波長は等しいものとし、それぞれ振動数をf、fとすると、
(x,t)=A sin (2πft−kx)
(x,t)=A sin (2πft−kx)
と表される。ここで、kは波の波数と呼ばれるもので2π/λである。従って、合成波yは

ここで、f1とf2との差はわずかなので、

とおくと、合成波を表す式は
y(x,t)=2A cos(2πΔft)sin(2πft−kx)
となる。これは振幅が時間と共に周期 1/2Δfでゆっくりと変化する波を表している。
うなりの回数は二つの波の振動数の差に等しく、毎秒|f-f| (=2Δf)回である

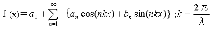
4.3 フーリエ合成

振動数あるいは波長の異なる無数の正弦波を重ね合わせることにより、様々な波形の波を作ることができる。これをフーリエ合成という。すなわち、波長λの波のある時刻における波形をf(x)とすると、f(x)は様々な波長の波の重ね合わせとして、

と表すことができる。ここで右辺を波形f(x)のフーリエ級数という。a0,an,bnの値を変えることにより様々な波形の波を作ることができる。たとえば、波長λ,λ/2,λ/3・・・・・・λ/nの正弦波を振幅比1,1/2,1/3,1/4・・・で重ね合わせると、矩形波となる。重ね合わせる波の振幅 a0,an,bnを波形f(x)のフーリエ成分という。

4.4 位相速度と群速度

振動数f、波長λの正弦波において、その速度vはv=fλであるが、これは単一な正弦波の波形が移動する速さ で、位相速度とよばれる。

正弦波

における山の位相は

であるから、両辺を時間tで微分すると、
dx/dt=v=λ/T=fλ
が得られる。すなわち、位相が一定の波面(等位相面)が移動する速さが位相速度である。
 次に、振動数と波長がわずかに異なる二つの波を重ね合わせたときの合成波の速度について考えよう。それぞれの波を

である。これは基本的にはうなりの場合と同じく、長い周期の波形の中に非常に短い周期の波が含まれた形になっている。合成波の波形は時間と共にその波形を徐々に変えながら移動していくが、このとき、合成波の速度を群速度という。群速度vはω−ω=Δω、k−k=Δkとすると、v=Δω/Δkである。これは分散性の媒質中を波長がわずかに異なる二つ以上の波が重なり合って移動するときおこる現象である。

4.5 波の干渉

 二つの波が重なり合うとき、波の山と山、あるいは谷と谷が重なり合うと波は強め合う。一方、波の山と谷が重なり合うと波は打ち消し合う。このように、波が重なり合うとき、強め合ったり打ち消し合ったりする現象を波の干渉 という。

 水面上の二つの波源から水面波を発生させると、水面上では水面が大きく振動する場所と、水面がほとんど振動しない場所とが見られるが、これは二つの波源から出た水面波が干渉するためである。二つの波源からの距離の差が波長の整数倍の地点では、常に波の山と山、あるいは谷と谷が出会うので波の強め合いが起こる。一方、二つの波源からの距離の差が波長の整数倍と波長の半分の地点では波の山と谷が出会うので波の打ち消し合いが起こる。

4.6 波の回折

 平面波がわずかな隙間を通り抜けた後広がりながら進む現象や、波が小さな物体の裏側まで回り込む現象回折という。回折の現象は隙間や物体のおおきさが波の波長に比べて小さくなると顕著になる


<前へ戻る  メニューに戻る  次へ進む>