2.運動量
物体の
質量
m
とその速度
v
との積
mv
を、その物体のもつ
運動量
という。運動量はベクトル量で、物体の
速度ベクトルと同じ向き
である。
ピンポン玉とテニスボールが体に当たったときの衝撃を想像しよう。同じ速さの時には、質量の大きいテニスボールの方が衝撃は大きい。しかし、ピンポン玉の速度が大きくなると、その衝撃はテニスボールと匹敵する。この様に、衝撃はボールの質量と速度に関係する。すなわち、運動量はこの衝撃の大きさに関係する量であるといえる。ふつう、物体のもつ運動量が大きいほど、当たったときの衝撃も大きい。この様に、運動量とは
物体の運動の勢いをあらわす量
である。
運動量を用いると、
Newtonの運動方程式
は
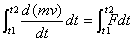
と表せる。これは、運動量の時間変化率が物体に作用した力に等しいことを表している。さらに、両辺を時間で積分して、
となる。力
F
を時間で積分した
を
力積
という。従って、物体の運動量の変化は作用した力積に等しい。
衝突の間に作用する力が一定と見なせる場合、力積は
F・凾
となる。ここで、
凾
は
衝突時間
である。
<前へ戻る
メニューに戻る
次へ進む>