1.質点系とは

 2個以上の質点から成る系を質点系という。質点系で作用する力には、質点同士がお互いに力を作用し合う内力系の外側の物体から個々の質点に作用する外力とがある。
質点系の運動では、個々の質点の運動に注目するのではなく、系全体を一つの質点と見なしてその運動について考える
 
まず、質量の二つの質点1、2から成る、最も単純な2質点系を考える。質点1、2の位置ベクトルを、質点1が質点2から受ける内力を12とし、質点2が質点1から受ける内力を21とする。1221は作用・反作用の力である。また、質点1と2が系の外側から受ける外力をそれぞれ、とすると、これらの質点に対する運動方程式は、

となる。ここで、1221は作用・反作用の力なので、12=−21である。両方程式の和をとると、

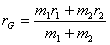
となる。また、で表さられる位置をこの質点系の質量中心または重心という。(m+mは質点系の全質量で、は質点系に作用する外力の合力である。そこで、+m=Mとおくと、上式は、


となる。すなわち、質点系の運動は質量中心にある質量の質点に外力が作用したときの運動と同じであると見なすことができる。
 いま簡単の為、質点系に作用する外力が0の場合(すなわち、=0)を考えると上式は

となる。さらに、、これは質点系の質量中心位置は等速度運動することを示している。

 
      る  <メニューに戻る  次へ進む>