3.運動量保存則
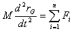
次に、一般的な議論として、n個の質点から成る質点系を考えよう。位置ベクトルri、質量miの質点iが質点jから受ける内力をFijとし、外力をFiとすると、質点iに関する運動方程式は
3.1 衝突
二つの物体が衝突する際、その前後での物体の運動の様子について考える。質量mの物体Aが質量M、速度v2の物体Bに、速度v1で正面衝突する場合を考える。衝突時間Δtの間、二つの物体には互いに逆向きに大きさの等しい力が作用(作用・反作用の法則)する。このときの力Fは一定であると仮定すると、衝突後の物体AとBの速度v1、v2は、| v1=v1−F・Δt/m v2=v2+F・Δt/M となる。上式を整理して、 mv1+mv1=−F・Δt Mv2−Mv2=F・Δt |
3.2 二次元の衝突
二つの物体が正面衝突する場合、衝突前後での二つの物体の運動方向は同一直線上にある。この場合の衝突を一次元の衝突とよぶ。床に垂直に物体を落下させたり、物体が壁に垂直に衝突する場合、衝突の前後で物体の運動方向は変わらない(ただし、向きは変化する)ので、これらの衝突は一次元の衝突である。端的に言えば、同一直線上で起こる衝突が一次元の衝突である。
物体が床や壁と斜めに衝突した場合、物体の速度ベクトルの方向は衝突の前後で変化するが、それらのベクトルは同一平面内にある。このように、同一平面内で起こる衝突を二次元の衝突とよぶ。二次元の衝突は、物体が床や壁に垂直に運動する成分と、床や壁に平行に運動する成分に分けて考えると、それぞれの運動成分による一次元の衝突の合成である。| 床や壁との衝突では運動量の保存則は使えないが、二つの物体による衝突の場合、衝突の前後での系の全運動量は常に保存される。二つの物体の衝突前の運動量をP、P とし、衝突後の運動量をそれぞれ、P、P とすると、衝突の次元に関係なく、 PA+PB=PA'+PB' が成り立つ。 |
3.3 はねかえり係数
二つの物体が衝突後、それぞれどのような速度ではね返るかは、運動量の保存則だけからでは決められない。この衝突の問題を解くにはさらに、衝突を特徴づけるパラメーターが必要である。それが衝突の際のはねかえり係数である。はね返り係数eは、衝突する際の相対速度と衝突後二つの物体が離れていく相対速度の比で定義される。従って、
![]()
である。はね返り係数eは0≦e≦1の範囲の値をとる。そして、
(1)e=1の衝突を(完全)弾性衝突といい、衝突の前後で運動エネルギーも保存される。
(2)e≠1の衝突を非弾性衝突といい、この場合には衝突の際、エネルギーが失われる。
特に、e=0の場合を完全非弾性衝突とよぶ。完全非弾性衝突では衝突後、二つの物体は一体となって運動する。